186 chủ xe chạy quá tốc độ có biển số sau nhanh chóng nộp phạt nguội theo Nghị định 168

Huỳnh Duy, Theo phunumoi.net.vn 01:00 07/04/2026
Chia sẻ

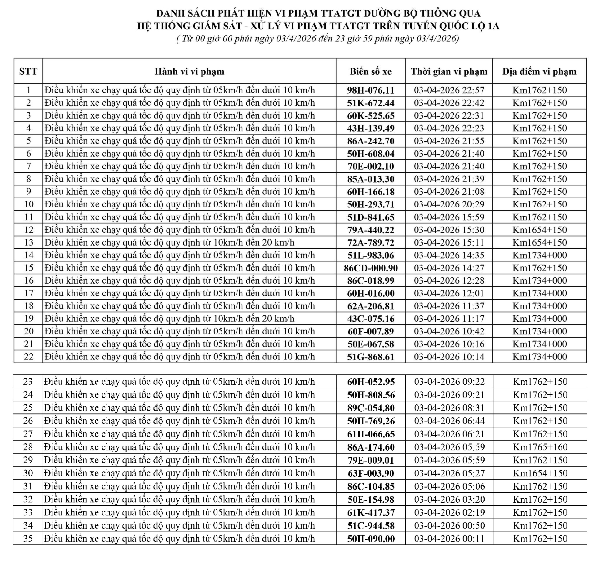
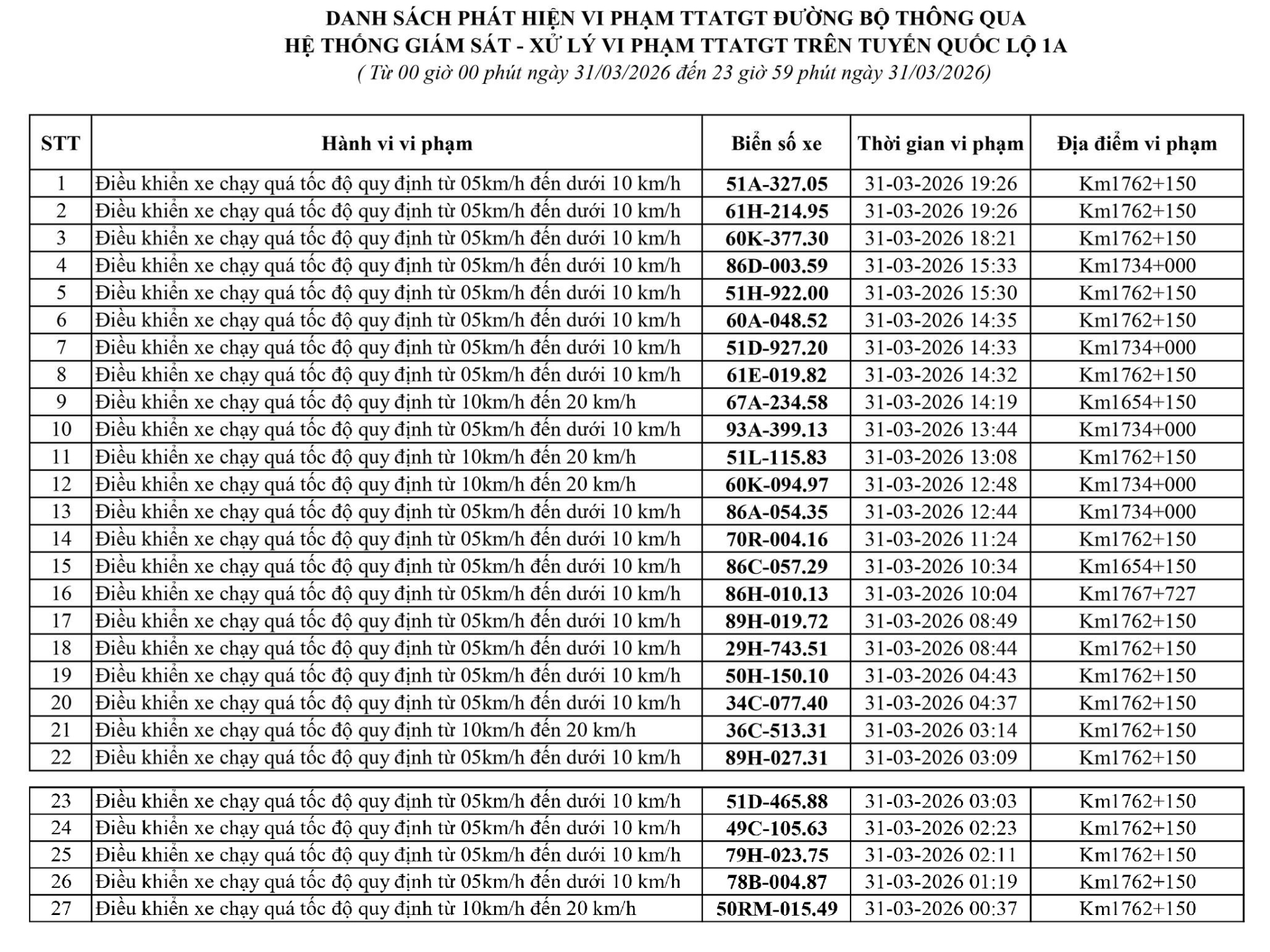
Công an tỉnh Lâm Đồng đã công bố danh sách các phương tiện vi phạm lỗi chạy quá tốc độ trong tuần đầu tháng 4/2026.

Phòng Cảnh sát giao thông Công an tỉnh Lâm Đồng thông báo, trong tuần từ ngày 30/3/2026 đến ngày 5/4/2026, đã phát hiện 186 trường hợp vi phạm trật tự an toàn giao thông - lỗi chạy quá tốc độ qua hệ thống camera giám sát giao thông và phương tiện thiết bị kỹ thuật nghiệp vụ.

Danh sách cụ thể như sau:

186 chủ xe chạy quá tốc độ có biển số sau nhanh chóng nộp phạt nguội theo Nghị định 168- Ảnh 1.

186 chủ xe chạy quá tốc độ có biển số sau nhanh chóng nộp phạt nguội theo Nghị định 168- Ảnh 2.

186 chủ xe chạy quá tốc độ có biển số sau nhanh chóng nộp phạt nguội theo Nghị định 168- Ảnh 3.

186 chủ xe chạy quá tốc độ có biển số sau nhanh chóng nộp phạt nguội theo Nghị định 168- Ảnh 4.

186 chủ xe chạy quá tốc độ có biển số sau nhanh chóng nộp phạt nguội theo Nghị định 168- Ảnh 5.

186 chủ xe chạy quá tốc độ có biển số sau nhanh chóng nộp phạt nguội theo Nghị định 168- Ảnh 6.

186 chủ xe chạy quá tốc độ có biển số sau nhanh chóng nộp phạt nguội theo Nghị định 168- Ảnh 7.

186 chủ xe chạy quá tốc độ có biển số sau nhanh chóng nộp phạt nguội theo Nghị định 168- Ảnh 8.

186 chủ xe chạy quá tốc độ có biển số sau nhanh chóng nộp phạt nguội theo Nghị định 168- Ảnh 9.

Theo Nghị định 168/2024/NĐ-CP, hành vi điều khiển ô tô chạy quá tốc độ quy định từ 5 - dưới 10 km/h sẽ bị phạt từ 800.000 - 1 triệu đồng; vượt quá tốc độ từ 10 - 20 km/h sẽ bị phạt từ 4 - 6 triệu đồng và trừ 2 điểm bằng lái xe; vượt quá tốc độ trên 20 - 35 km/h sẽ bị phạt từ 6 - 8 triệu đồng và trừ 4 điểm bằng lái xe; vượt quá tốc độ trên 35 km/h sẽ bị phạt từ 12 - 14 triệu đồng và trừ 6 điểm bằng lái xe. Trường hợp điều khiển xe chạy quá tốc độ quy định gây tai nạn giao thông sẽ bị phạt tiền 20 - 22 triệu đồng và trừ 10 điểm giấy phép lái xe.

Với xe máy, nếu vượt quá tốc độ từ 5 - dưới 10 km/h bị phạt tiền từ 400.000 - 600.000 đồng; vượt quá tốc độ từ 10 - 20 km/h bị phạt tiền từ 800.000–1 triệu đồng; vượt quá tốc độ trên 20 km/h bị phạt tiền từ 6–8 triệu đồng.

Phòng Cảnh sát giao thông Công an tỉnh Bắc Ninh đề nghị chủ phương tiện, người vi phạm chủ động tra cứu, chấp hành việc xử lý theo quy định. Đồng thời, khuyến cáo người dân nghiêm chỉnh tuân thủ quy định về tốc độ, chú ý quan sát biển báo giao thông, điều khiển phương tiện an toàn, góp phần phòng ngừa tai nạn và bảo đảm trật tự, an toàn giao thông trên địa bàn.

Để tra cứu phương tiện vi phạm, người dân có thể thực hiện theo các cách dưới đây:

- Tra cứu trên website chính thức của Cục Cảnh sát Giao thông:

Bước 1: Truy cập: https://www.csgt.vn/tra-cuu-phuong-tien-vi-pham.html

Bước 2: Nhập biển số xe, chọn loại phương tiện, nhập mã captcha → bấm Tra cứu.

Bước 3: Nếu có vi phạm sẽ hiện thời gian, địa điểm, lỗi, đơn vị xử lý.

- Tải ứng dụng VNeTraffic - ứng dụng giao thông do Bộ Công an quản lý để kiểm tra thông tin vi phạm hoặc gửi phản ánh trực tiếp đến cơ quan chức năng.

Bước 1: Tải ứng dụng trên Google Play / App Store.

Bước 2: Đăng nhập bằng CCCD gắn chip hoặc số điện thoại.

Bước 3: Vào mục “Tra cứu vi phạm”, nhập biển số xe để xem vi phạm.

TIN CÙNG CHUYÊN MỤC
Xem theo ngày