Theo danh sách được công bố, hai lỗi vi phạm chủ yếu là người điều khiển xe mô tô không chấp hành hiệu lệnh của đèn tín hiệu giao thông và người điều khiển xe ô tô chạy quá tốc độ quy định.
Trong 24 giờ qua, hệ thống camera AI trên cao tốc Nội Bài - Lào Cai và một số tuyến nội đô Hà Nội đã ghi nhận hơn 16.000 lượt phương tiện, phát hiện nhiều vi phạm giao thông chủ yếu là không đội mũ bảo hiểm và vượt đèn đỏ.
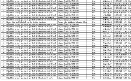
Nhiều xe máy vi phạm trật tự an toàn giao thông tại các tỉnh thành trong thời gian qua đã được hệ thống camera giám sát và phương tiện thiết bị kỹ thuật nghiệp vụ ghi lại.
Trong 24 giờ qua, hệ thống camera AI trên cao tốc Nội Bài – Lào Cai và tại nhiều nút giao trong nội đô Hà Nội đã ghi nhận hàng loạt phương tiện vi phạm như không thắt dây an toàn, không đội mũ bảo hiểm, vượt đèn đỏ và đi sai làn.
Vượt đèn đỏ, sử dụng điện thoại khi tham gia giao thông, đi sai làn đường…vv là những lỗi mà lâu nay nhiều người vẫn mắc phải và có thể bị xử phạt lên đến hàng chục triệu đồng.