Mới đây, Cục Cảnh sát Giao thông và nhiều tỉnh, thành công bố danh sách các phương tiện vi phạm. Đáng chú ý, có nhiều chủ xe máy bị phạt nguội.
Mới đây, Công an thành phố Hà Nội thông báo danh sách 342 phương tiện vi phạm TTATGT được phát hiện qua hệ thống Camera AI từ này 19/12/2025 - 21/12/2025.
Thời gian qua, hệ thống Camera AI đã phát hiện, ghi hình 342 phương tiện, bao gồm 82 xe ô tô, 260 xe máy vi phạm TTATGT. Phòng Cảnh sát giao thông đã gửi thông báo đến các chủ phương tiện.
Danh sách chi tiết 260 trường hợp xe máy vi phạm như sau:






Theo Cục Cảnh sát giao thông, qua trích xuất dữ liệu từ camera A.I được thí điểm lắp đặt tại nội đô Hà Nội (nút giao phố Phạm Văn Bạch - Hoàng Quán Chi):
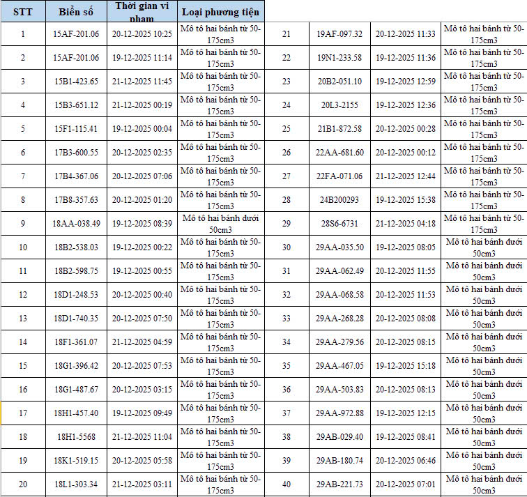
Từ 12h00’ ngày 12/1/2026 đến 12h00’ ngày 13/1/2026, đã tự động phát hiện 40 trường hợp xe máy vi phạm.
Danh sách 40 trường hợp xe máy vi phạm như sau:


Từ 12h00’ ngày 11/1/2026 đến 12h00’ ngày 12/1/2026, đã tự động phát hiện 32 trường hợp xe máy vi phạm.
Danh sách 32 trường hợp xe máy vi phạm như sau:

Từ 12h00’ ngày 10/1/2026 đến 12h00’ ngày 11/1/2026, đã tự động phát hiện 51 trường hợp xe máy vi phạm.
Danh sách 51 trường hợp xe máy vi phạm như sau:


Từ 12h00’ ngày 6/1/2026 đến 12h00’ ngày 7/1/2026, đã tự động phát hiện 41 trường hợp xe máy vi phạm.
Danh sách 41 trường hợp xe máy vi phạm như sau:


Ngày 14/1, Phòng CSGT Công an tỉnh Bắc Ninh thông báo, trong tuần từ 01/01/2026 đến 10/1/2026, qua thu thập từ hệ thống camera giám sát giao thông và thiết bị kỹ thuật nghiệp vụ, đã phát hiện 316 trường hợp vi phạm, bị phạt nguội. Trong đó có 69 trường hợp xe máy vi phạm.
Danh sách 69 trường hợp xe máy vi phạm lỗi vượt đèn đỏ như sau:
19L1-317.08; 23D1-334.85; 29A1-001.98; 29A1-230.04; 29B1-310.88; 29B1-473.08; 29B8-006.91; 29BB-006.91; 29D1-813.76; 36AA-690.61; 88AA-006.74; 89C2-028.20;
98AA-077.29; 98AA-121.48; 98AA-288.67; 98AH-049.81; 98AH-087.52; 98AH-101.64; 98AK-062.28; 98B1-887.12; 98B2-245.44; 98B2-329.25; 98B2-627.22; 98B2-784.60; 98B2-811.62; 98B2-863.04; 98B2-904.18; 98B2-952.84; 98B2-960.58;
98B3-072.30; 98B3-256.65; 98B3-307.59; 98B3-543.27; 98B3-582.92; 98B3-595.92; 98B3-829.48; 98B3-876.30; 98B3-899.26; 98B3-918.79; 98B3-937.80; 98B3-955.80; 98B3-976.87; 98C1-1807; 98C1-224.29; 98D1-407.88; 98D1-704.61; 98E1-798.63; 98E1-833.03; 98F1-384.33; 98H1-149.95; 98K1-149.23; 98K1-184.71; 98K1-217.73; 98K1-357.01; 98L1-172.77; 98M1-309.74; 98MĐ1-119.50; 98MĐ1-168.12; 98N6-6065; 98N6-9457; 99AA-383.06; 99AA-400.21; 99AA-647.13; 99B1-392.13; 99B2-026.45; 99F3-7889.
Mức phạt một số lỗi người điều khiển xe máy vi phạm quy định mới theo Nghị định 168/2024/NĐ-CP như sau:
- Người điều khiển xe đi ngược chiều, đi trên vỉa hè (trừ trường hợp điều khiển xe đi qua vỉa hè để vào nhà, cơ quan); không chấp hành hiệu lệnh của đèn tín hiệu giao thông; sẽ bị phạt tiền từ 4-6 triệu đồng.
- Phạt tiền từ 400.000 đồng đến 600.000 đồng đối với người điều khiển xe có hành vi dừng xe, đỗ xe ở lòng đường gây cản trở giao thông; tụ tập từ 03 xe trở lên ở lòng đường, trong hầm đường bộ; đỗ, để xe ở lòng đường, vỉa hè trái phép.
- Hành vi chở theo 02 người trên xe, trừ trường hợp chở người bệnh đi cấp cứu, trẻ em dưới 12 tuổi, người già yếu hoặc người khuyết tật, áp giải người có hành vi vi phạm pháp luật cũng bị phạt tiền từ 400.000 đồng đến 600.000 đồng. Mức phạt này cũng áp dụng đối với hành vi không đội "mũ bảo hiểm cho người đi mô tô, xe máy" hoặc đội "mũ bảo hiểm cho người đi mô tô, xe máy" không cài quai đúng quy cách khi điều khiển xe tham gia giao thông trên đường bộ.
Để tra cứu phương tiện vi phạm, người dân có có thể thực hiện tra cứu phạt nguội trên website của Cục Cảnh sát giao thông hoặc kiểm tra qua ứng dụng VNeTraffic.
Tổng hợp: Báo Điện tử Chính phủ, Cục Cảnh sát Giao thông, Cổng Thông tin điện tử Công an thành phố Hà Nội, Phòng CSGT Công an tỉnh Bắc Ninh