Công an TP. Hà Nội 41 trường hợp vi phạm trên địa bàn
Cổng thông tin điện tử Công an TP. Hà Nội mới đây cho biết, từ ngày 1/10 đến 10/10, thông qua Hệ thống camera giám sát giao thông, Phòng Cảnh sát Giao thông đã phát hiện, ghi hình 41 trường hợp phương tiện vi phạm (bao gồm cả ô tô và mô tô).
Tại thông báo này, Công an Hà Nội lưu ý chủ phương tiện, người điều khiển phương tiện có thể tra cứu thông tin “phạt nguội” trên trang thông tin điện tử của Cục Cảnh sát giao thông - Bộ Công an tại địa chỉ www.csgt.vn.
Người vi phạm cũng có thể liên hệ trực tiếp Đội Chỉ huy giao thông và điều khiển đèn tín hiệu giao thông (Phòng Cảnh sát Giao thông - Công an TP. Hà Nội) tại số 54 Trần Hưng Đạo, phường Cửa Nam, TP Hà Nội, điện thoại: 0692.196.440 để được hướng dẫn, giải quyết.
Danh sách các phương tiện vi phạm cụ thể như sau:
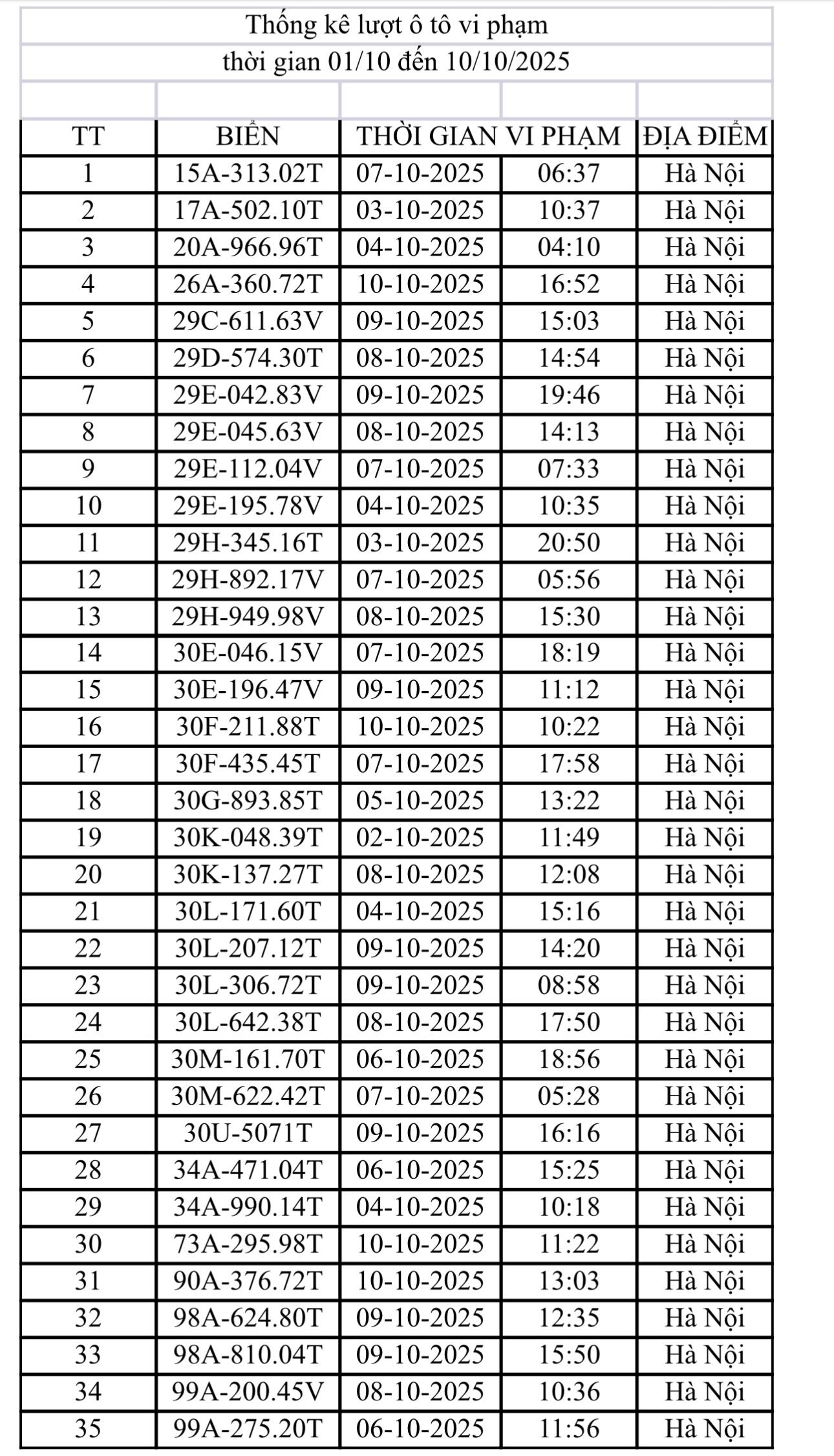
35 trường hợp xe ô tô vi phạm trên địa bàn TP. Hà Nội từ ngày 1/10 đến 10/10

Nguồn: Công an TP. Hà Nội
6 trường hợp xe mô tô vi phạm trên địa bàn TP. Hà Nội từ ngày 1/10 đến 10/10

Nguồn: Công an TP. Hà Nội
Lực lượng chức năng cho biết, người dân cư trú trên địa bàn Hà Nội có thể đến 14 địa điểm tiếp nhận, giải quyết kết quả thu thập được bằng phương tiện, thiết bị nghiệp vụ (phạt nguội) của Phòng Cảnh sát Giao thông để giải quyết vụ việc vi phạm hành chính.
Công an thành phố Hà Nội vận hành 1.873 camera AI từ tháng 12
Bên cạnh các thông tin về phạt nguội, Công an TP. Hà Nội mới đây cũng cho biết, đơn vị sẽ vận hành 1.873 camera AI từ tháng 12/2025, góp phần từng bước nâng cao hạ tầng bảo đảm trật tự, an toàn giao thông Thủ đô.
Theo đó, sáng ngày 23/10, Phòng Cảnh sát giao thông tiếp tục triển khai lắp đặt Hệ thống camera tích hợp trí tuệ nhân tạo (AI) tại nút giao Phạm Hùng - Khuất Duy Tiến, nằm trong tổng thể 1.873 camera AI sẽ được đưa vào vận hành đồng bộ từ tháng 12/2025 trên toàn địa bàn Thành phố.
Hệ thống camera AI được trang bị nhiều tính năng hiện đại như quay quét 360 độ, nhận diện rõ sự vật, hiện tượng, đối tượng ở khoảng cách 500-700m, hoạt động ổn định trong mọi điều kiện thời tiết và môi trường khắc nghiệt. Các camera này được bố trí tại các tuyến, nút giao thông trọng điểm, khu vực trung tâm, cửa ngõ ra vào Thành phố nhằm phục vụ công tác quản lý, giám sát giao thông và đảm bảo an ninh, trật tự đô thị.
1.873 camera AI được tích hợp chức năng tự động đo đếm lưu lượng phương tiện tại các nút giao, truyền dữ liệu theo thời gian thực để điều khiển chu kỳ đèn tín hiệu giao thông tối ưu. Qua đó, hệ thống giúp giảm ùn tắc, rút ngắn thời gian chờ đèn đỏ và nâng cao hiệu quả điều hành giao thông thông minh.
“Việc đưa vào vận hành hệ thống 1.873 camera AI từ tháng 12 là bước tiến quan trọng trong lộ trình chuyển đổi số của lực lượng Cảnh sát giao thông Thủ đô", Trung tá Đào Việt Long, Phó Trưởng phòng Cảnh sát giao thông - Công an TP. Hà Nội cho biết.
Theo Trung tá, so với hệ thống camera quan sát thông thường, camera AI có khả năng phân tích và xử lý hình ảnh ngay tại thiết bị, giúp phát hiện nhanh, chính xác các hành vi vi phạm trật tự, an toàn giao thông cũng như các tình huống liên quan đến an ninh, trật tự trên địa bàn.