342 chủ xe có biển số sau vi phạm TTATGT được phát hiện qua hệ thống camera A.I ở Hà Nội nhanh chóng nộp phạt nguội theo Nghị định 168

Nguyên An, Theo phunumoi.net.vn 15:15 07/01/2026
Chia sẻ

Cục Cảnh sát giao thông đã xác định thêm nhiều trường hợp vi phạm trật tự an toàn giao thông tại Hà Nội trong tháng 12/2025.

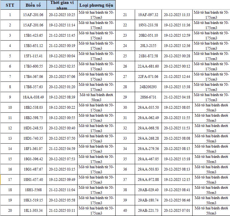
Cục Cảnh sát giao thông thông báo, thời gian qua, hệ thống Camera AI đã phát hiện, ghi hình 342 phương tiện, bao gồm 82 xe ô tô, 260 xe máy vi phạm TTATGT tại TP. Hà Nội. Phòng Cảnh sát giao thông đã gửi thông báo đến các chủ phương tiện. Danh sách cụ thể như sau:

342 chủ xe có biển số sau vi phạm TTATGT được phát hiện qua hệ thống camera A.I ở Hà Nội nhanh chóng nộp phạt nguội theo Nghị định 168- Ảnh 1.

342 chủ xe có biển số sau vi phạm TTATGT được phát hiện qua hệ thống camera A.I ở Hà Nội nhanh chóng nộp phạt nguội theo Nghị định 168- Ảnh 2.

342 chủ xe có biển số sau vi phạm TTATGT được phát hiện qua hệ thống camera A.I ở Hà Nội nhanh chóng nộp phạt nguội theo Nghị định 168- Ảnh 3.

342 chủ xe có biển số sau vi phạm TTATGT được phát hiện qua hệ thống camera A.I ở Hà Nội nhanh chóng nộp phạt nguội theo Nghị định 168- Ảnh 4.

342 chủ xe có biển số sau vi phạm TTATGT được phát hiện qua hệ thống camera A.I ở Hà Nội nhanh chóng nộp phạt nguội theo Nghị định 168- Ảnh 5.

342 chủ xe có biển số sau vi phạm TTATGT được phát hiện qua hệ thống camera A.I ở Hà Nội nhanh chóng nộp phạt nguội theo Nghị định 168- Ảnh 6.

342 chủ xe có biển số sau vi phạm TTATGT được phát hiện qua hệ thống camera A.I ở Hà Nội nhanh chóng nộp phạt nguội theo Nghị định 168- Ảnh 7.

342 chủ xe có biển số sau vi phạm TTATGT được phát hiện qua hệ thống camera A.I ở Hà Nội nhanh chóng nộp phạt nguội theo Nghị định 168- Ảnh 8.

Từ tháng 11/2025, Giám đốc Công an Thành phố Hà Nội thông tin, Công an thành phố đang thực hiện đề án lắp hệ thống camera AI, đến khoảng tháng 12, AI sẽ thay thế cảnh sát giao thông để điều khiển phương tiện giao thông theo lưu lượng thực. Dự kiến, hệ thống này sẽ hoàn thành và vận hành chính thức 1.873 camera AI. Hệ thống mới sẽ giải quyết vấn đề công nghệ cũ, lạc hậu đang khiến giao thông Thủ đô quá tải.

Hệ thống camera AI được trang bị nhiều tính năng hiện đại như quay quét 360 độ, nhận dạng vật, hiện tượng, đối tượng trong khoảng cách 500-700m, hoạt động ổn định trong mọi điều kiện tiết kiệm và môi trường khắc phục. Camera này được bố trí tại các tuyến, nút giao thông trọng điểm, khu vực trung tâm, cửa ra vào Thành phố nỗ lực phục vụ công tác quản lý, giám sát giao thông và an ninh an ninh, trật tự đô thị.

Điểm nổi bật của hệ thống là khả năng xử lý và phân tích ảnh trực tiếp tại camera (xử lý tại biên giới), giúp nhận diện nhanh các hành vi vi phạm giao thông, hành vi liên quan đến trật tự an ninh; đồng thời gửi dữ liệu về trung tâm để so sánh, phân tích với chung cơ sở dữ liệu. Giải pháp này giúp tăng độ chính xác, giảm độ học, tiết kiệm tài nguyên máy chủ tại trung tâm, đồng thời cho phép mở rộng linh hoạt số lượng camera trong tương lai.

Đặc biệt, 1.873 camera AI được tích hợp chức năng tự động đo lưu lượng phương tiện tại các nút giao tiếp, truyền dữ liệu theo thời gian thực để điều khiển mức độ tối ưu của tín hiệu tín hiệu. Qua đó, hệ thống giúp giảm ùn tắc, rút ngắn thời gian chờ đèn đỏ và nâng cao hiệu quả điều hành giao thông thông minh.

Để tra cứu phương tiện vi phạm, người dân có thể thực hiện theo các cách dưới đây:

- Tra cứu trên website chính thức của Cục Cảnh sát Giao thông:

Bước 1: Truy cập website chính thức của Cục Cảnh sát Giao thông

Bước 2: Nhập biển số xe, chọn loại phương tiện, nhập mã captcha → bấm Tra cứu.

Bước 3: Nếu có vi phạm sẽ hiện thời gian, địa điểm, lỗi, đơn vị xử lý.

- Tải ứng dụng VNeTraffic - ứng dụng giao thông do Bộ Công an quản lý để kiểm tra thông tin vi phạm hoặc gửi phản ánh trực tiếp đến cơ quan chức năng.

Bước 1: Tải ứng dụng trên Google Play/App Store.

Bước 2: Đăng nhập bằng CCCD gắn chip hoặc số điện thoại.

Bước 3: Vào mục “Tra cứu vi phạm”, nhập biển số xe để xem vi phạm.

TIN CÙNG CHUYÊN MỤC
Xem theo ngày